Kamis, 23 April 2020

Que Es Halving

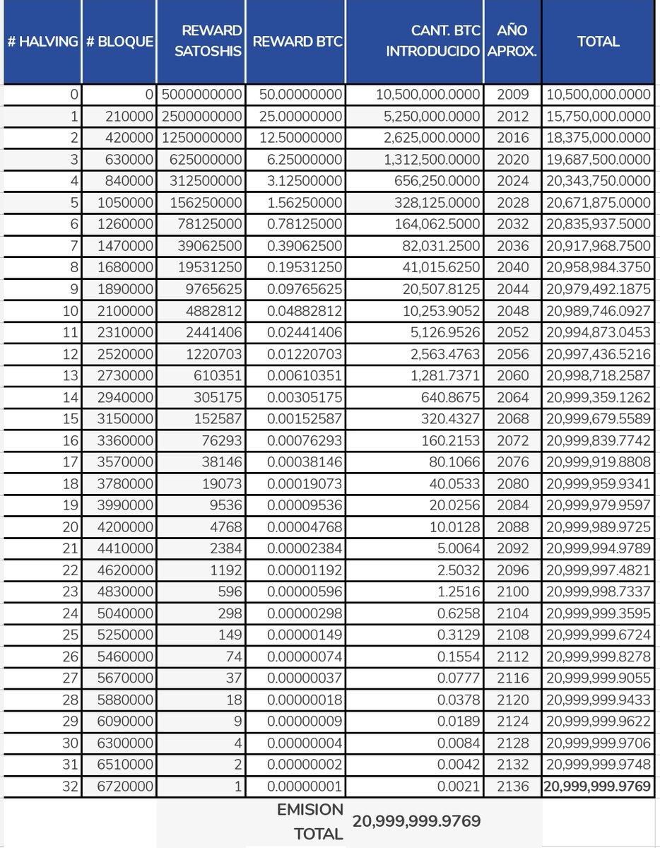
E l halving es un proceso automatizado de reduccion a la mitad de los bitcoins que reciben los mineros como recompensa por la creacion de un bloque. El halving de bitcoin a veces llamado halvening es un evento programado en el protocolo bitcoin por el que la recompensa por minar nuevos bloques se reduce a la mitadel halving esta programado para ocurrir cada 210000 bloques aproximadamente cada cuatro anos hasta que la red haya generado el suministro maximo de 21 millones de bitcoins.

Que Es El Halving Y Que Funcion Tiene En Bitcoin Bit2me Academy

Halving es un evento programado en el protocolo de bitcoin que reduce a la mitad la recompensa que reciben los mineros por anadir un nuevo bloque a la cadena principal.

Que es halving. El halving no es un proceso manual sino que se encuentra programado en la configuracion de bitcoin. Fue creado para incentivar el minado mediante prueba de trabajoesto por el establecimiento con cada cierto numero de bloques la emision debe reducirse a la mitad. En un sistema economico centralizado como son los bancos centrales de todo el mundo la moneda debe ser equitativa al crecimiento de bienes y que estos puedan ser comercializados a precios estables. Sin embargo la realidad es que los bloques se pueden resolver mas rapido o mas despacio segun la tecnologia avanza o toca limites o hay mas mineros o menos. Es posible que el proximo halving de bitcoin btc tenga lugar en mayo de 2020 lo que podria tener un impacto importante sobre el precio de la criptodivisa. Comprar bitcoins btc tiene muchas alternativas a la hora de escoger un exchange para comprar bitcoin ser la numero uno hace que todos quieran tenerla en su lista de criptomonedas disponibles. Eso es el halving. Que sucede con los mineros durante los halvings. Descubra todo lo que necesita saber sobre el siguiente halving de bitcoin incluido que es por que tiene lugar y como operar cuando llegue el momento. La realidad es que la mayoria de los mineros son muy inteligentes y marcan precio en el halving asi que no terminan clausurando ningun minero. El halving es una accion por la que la inflacion se reduce de golpe a la mitad. Muchos siempre especulan que los mineros cesaran su actividad luego del halving. Esto ocurre cada 210000 bloques minados aproximadamente cada cuatro anos segun lo establecio satoshi nakamoto y ya ocurrio la primera vez en el 2012. Ahora podemos decir que el halving es el mecanismo implementado por algunas blockchains en este caso al de bitcoin para reducir a la mitad las recompensas otorgadas a los mineros que ofrecen su poder computacional a la red. As part of bitcoins coin issuance miners are rewarded a certain amount of bitcoins whenever a block is produced approximately every 10 minutes.

Que Es El Halving Y Que Funcion Tiene En Bitcoin Bit2me Academy

Que Es Halving La Recompensa Por Bloque Y Su Impacto En Bitcoin

Que Es El Halving Y Que Funcion Tiene En Bitcoin Bit2me Academy

Que Es El Halving De Bitcoin Buda Blog

Que Es El Halving Representa Una Oportunidad Blogs Gestion

Que Es El Halving De Bitcoin

Que Es El Halving En Una Criptomoneda Como Bitcoin Cadena De

Que Es El Halving Y Que Funcion Tiene En Bitcoin Bit2me Academy

Que Es Halving La Recompensa Por Bloque Y Su Impacto En Bitcoin

Que Es Es Halving En Bitcoin Mineria Criptotario

Que Es Halving En Bitcoin Podria Afectar Al Precio

Bitcoin Halving 2020 All You Need To Know

Bitcore Halving Countdown Bitcore

Halving De Bitcoin Que Es El Evento Mas Esperado

P2p Instagram Posts Photos And Videos Picuki Com

Que Es Bitcoin Halving Procedimiento Y Predicciones

Buvopgpb9ef4fm

Btc Bitcoin Still Right On Que With Previous Halving Patterns

Que Es El Halving Representa Una Oportunidad Blogs Gestion

Que Es El Inminente Halving De Bitcoin Cash Cripto Tendencia

Reduccion De La Recompensa De Bitcoin Que Es El Halving De

Bitcoin Halving 2020 Explained Coindesk

Bitcoin Halving Que Es Y Por Que Deberia Importarme

Andescoin Andes Price Charts Market Cap Markets Exchanges

Criptoday Informacion Transparente Descentralizada

La Importancia Del Bitcoin Halving Y Su Posible Impacto

Rcg2pyxzpaqypm

Manana Es El Halving De Bitcoin Cash Predecira El Futuro De

Que Es Halving La Recompensa Por Bloque Y Su Impacto En Bitcoin

Que Es El Halving Y Que Funcion Tiene En Bitcoin Bit2me Academy

Bitmain Dara El Primer Halving Despidos Masivos Cripto Tendencia

Bitcoin Halving Que Es Y Por Que Deberia Importarte

Que Es El Halving Y Por Que Reducira La Produccion Del Bitcoin A

Bitcoin Halving Countdown Binance Academy

Ultimas Noticias De Blockchain Reportebtc Com

Que Es Halving Y La Dificultad En La Mineria Que Es Halving

Que Es El Halving De Bitcoin Tecnobits

Hodlbtc Instagram Posts Photos And Videos Picuki Com

Que Es El Halving En Una Criptomoneda Como Bitcoin Criptonoticias

Halving Bitcoin En Mayo De 2020 Que Podemos Esperar Al Respecto

Halving De Bitcoin Observaciones Y Expectativas Segun El Analista

Gb3doq1 W1wtpm

Que Es El Halving Y Como Afecta El Precio De Bitcoin Buenbit

Este Es El Evento Que Afectara Enormemente Al Bitcoin El Proximo

1 Bitcoin Halving 2020 Countdown Date Eta Btc Clock

Que Es El Halving Del Bitcoin Youtube

Que Es El Halving De Bitcoin Tecnobits

Changpeng Zhao Cree Que El Precio Del Btc Aumentara Previo Al Halving

Que Es Halving La Recompensa Por Bloque Y Su Impacto En Bitcoin

El Halving De Bitcoin Del 2020 Cual Es Su Importancia

Easycrypto Instagram Posts Gramho Com

Bitcoin Por Que Mayo Del 2020 Es Un Mes Clave Para Los Que Poseen

Argenbtc Compra Y Venta De Bitcoins En Argentina

Mamby The Intelligent Community

El Halving De Bitcoin Cash Cryptoplaza

Halving Lo Que Debes Saber Sobre La Reduccion De La Recompensa De

Halving Bitcoin Programado Para El 13 De Mayo De 2020

Blockchain Cryptocurrency News In One Place Bitnovo Blog

Que Es El Halving Representa Una Oportunidad Blogs Gestion

Halving De Bitcoin Que Supone Para La Red Que Es Halving En

Que Es El Halving De Bitcoin Buda Blog

Que Es El Halving En Una Criptomoneda Como Bitcoin Criptonoticias

Halving Podria Duplicar Costo De Minado Cripto Tendencia

Bitcoin Por Que Mayo Del 2020 Es Un Mes Clave Para Los Que Poseen

Que Es El Halving Y Que Funcion Tiene En Bitcoin Bit2me Academy

Te Instruimos Acerca Del Halving De Bitcoin Criptogaceta

Tradingbtc Instagram Posts Gramho Com

Bitcoin Halving 5 Mejores Datos Bitcoin Era

Bitcoin Halving 2020 Explained Coindesk

Halving De Bitcoin Que Supone Para La Red Que Es Halving En

El Halving En Las Criptomonedas Bitcoin Blockchain Es

Criptomonedas World Photos Facebook

Que Es El Halving Y Que Funcion Tiene En Bitcoin Miningvip

La Conexion Latin America Conexion Events Twitter

Halving Bitcoin Que Es Mundo Bitcoin

Se Acerca El Halving Pero Que Es El Halving Quinta Parte

Que Es Un Halving En Bitcoin Mitos Referencia

Bitcoin Halving The Most Important Date In Bitcoin Blockgeeks

What Is Halving And How Can It Impact Bitcoin And Cryptocurrencies

Todo Sobre El Halving En Bitcoin Que Es Y Para Que Sirve

Don T Panic We Are In A Worldwide Crisis Everything Is

Btchalving Instagram Posts Photos And Videos Picuki Com

Litecoin Block Reward Halving Countdown

Que Es El Halving Y Como Afectara Al Bitcoin Youtube

El Proximo Halving De Bitcoin Sera El Mas Duro Buenbit

Blog De Volabit Un Blog Acerca De Volabit Bitcoin Y Startups

El Segundo Halving De Bitcoin Tiene Lugar Tal Y Como Estaba

Coinmarketcal Cryptocurrency Calendar

Bitcoin Halving 2020 Btc Mining Block Reward Chart History

Faltan Menos De 100 Dias Para El Proximo Halving De Bitcoin

Que Es Archives Monedero

Bitcoin Halving The Most Important Date In Bitcoin Blockgeeks

Bitcoin Takes Tumble Traders Fret Correlation And Next Month S

Buvopgpb9ef4fm

What Is Bitcoin Gold Exactly

Que Es Bitcoin Halving Jairo Alonso Vargas

R Que Podria Afectar El Precio Sustancialmente Diariobitcoin

1 Bitcoin Halving 2020 Countdown Date Eta Btc Clock

Why Attention Is The New Currency In Business Darren Jacklin


This is a video Que es halving may be you like for reference.


Thank you for visiting my website. I hope this content give you inspiration.


0 Comments

Posting Komentar